Honda Accord: DTC Troubleshooting Index

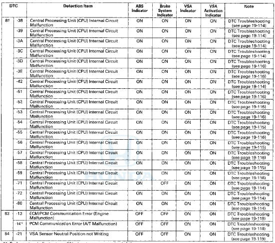
* 1 : Brake system indicator turns ON when two or more wheels fail.
*2: A/T

* 1 : Brake system indicator turns ON when two or more wheels fail.
*2: A/T

* 1 : Brake system indicator turns ON when two or more wheels fail.
*2: A/T

*1: Brake system indicator turns ON when two or more wheels fail.
*2: A/T

* 1 : Brake system indicator turns ON when two or more wheels fail.
*2: A/T

*1: Brake system indicator turns ON when two or more wheels fail.
*2: A/T

* 1 : Brake system indicator turns ON when two or more wheels fail.
*2: A/T

* 1 : Brake system indicator turns ON when two or more wheels fail.
*2: A/T
General Troubleshooting Information
Sf stem Indicator
This system has four indicators;
- ABS indicator (A)
- Brake system indicator (B)
- VSA indicator (C)
- VSA activation indicator (D)
When the system is OK, each indicator com ...
Symptom Troubleshooting Index
When the vehicle has one of these symptoms, check for VSA diagnostic trouble
codes (DTCs) with the HDS. If there are
no DTCs, do the diagnostic procedure for the symptom, in the sequence listed,
...
See also:
Starter Performance Test
1. Remove the starter (see page 4-11).
2. Firmly clamp the starter in a vise.
3. Make a connection for this test using the thickest
(gauge) wire possible (preferably the same gauge as
used on ...
Rear Seat Armrest Replacement
Special Tools Required
KTC Trim Tool Set SOJATP2014*
*Available through the Honda Tool and
Equipment
Program; call 888-424-6857
4-door
NOTE:
- Use the appropriate tool from the KTC trim tool s ...
General Troubleshooting
Information
Lever-Locked Connector
Disconnecting
To disconnect the connector, pull the lever (A) while
pushing the lock tab (B) down, then pull the connector
(C).
Connecting
To connect the connector, push ...